4735 Sayılı Kanuna Göre Yapım Fiyat Farkı Hesabı Nasıl Hesaplanır ?
Yapım Fiyat Farkı Nasıl Hesaplanır ?
Uygulamada karışık bir konu olan ve çokça ihtilaf yaşanan hesapların başında Yapım İşleri Fiyat Farkı hesabı gelmektedir. Bu yazıda Yapım Fiyat Farkı hesabında dikkat edilmesi gereken hususlar ve bu hesabın nasıl yapılacağı anlatılmıştır.
Fiyat Farkı hesabının nasıl yapılacağı hususu 2013/5217 Sayılı Bakanlar Kurulu kararı ile belirlenmiştir.
Hangi Yapım İşlerine 2013/5217 Sayılı Fiyat Farkı Kararnamesi Uygulanır ?
4734 Sayılı Kamu İhale Kanuna göre ihale edilmiş ve 4735 Sayılı Kamu İhale Sözleşmeleri Kanununa göre sözleşmesi yapılmış tüm Yapım işlerine Fiyat Farkı kararnamesi uygulanabilir. İhale dokümanı ve sözleşmesinde Yapım Fiyat Farkı verilecektir ibaresi taşıyan yapım işlerinde ödenebilir. Bu kanuna tabii olmayan Kamu Kurumları ve Özel Sektör sözleşmelerinde de bu fiyat farkı hesabın esas alındığı görülmüştür.
Fiyat Farkının Amacı Nedir
Sözleşmenin ifası aşamasında enflasyondan Yükleniciyi ve deflasyondan İşvereni korumaktır. Malumunuz üzere enflasyon günlük hayatımızın bir parçası, bir yapım işinin ifası aşamasında yükselen fiyatlardan Yüklenici firmayı korumak üzere fiyat farkı hesabı devreye girmektedir. Aynı şekilde çok sık rastlamadığımız deflasyon durumlarında İşverenin fazla ödeme yapmasını engellemektedir.
Yapım Fiyat Farkı Hesabına Başlamadan Önce Dikkat Edilmesi Gereken Hususlar
Yapım Fiyat Farkı hesabını gerçekleştirmek için aşağıda listelemiş olduğum şartlar olmazsa olmazdır.
- Sözleşme ve İhale şartnamesinde “Fiyat Farkı verilecektir” ibaresi bulunmalıdır
- Sözleşme de fiyat farkı ile ilgili endeks kuralları belirtilmiş olmalıdır
- Yi-Üfe Genel Endeksine göre
- Ağırlık Oranlarına göre
- Eğer Ağırlık Oranlarına hesap yapılacağı öngörülmüş ise toplamı 1’e eşit olacak yedi adet ağırlık oranı katsayısı verilmiş olmalı. (a, b1, b2, b3, b4, b5 ve c)
- Sözleşme sonrası hazırlanmış İş Programına bağlı Ödenek Dilimleri hazırlanmış ve onaylanmış olmalıdır.

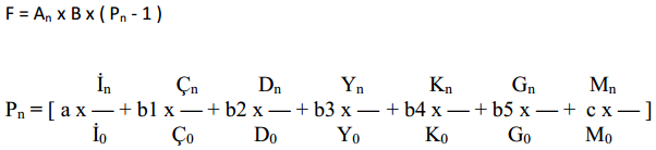
Bu aşamada sözleşmemizde Yi-ÜFE Genel Endeksine göre hesap şekli seçilmiş ise yukarıda gösterilmiş ikinci formül yerine aşağıdaki formül kullanılmalıdır.

An : Bu Hakediş tutarını temsil etmektedir.
B : Sabit bir katsayı olup 0,90 olarak formüle dahil olmaktadır. Bu katsayı ile An değerin içerisindeki yüklenici karını kaldırmış oluyoruz, zira An tutarı hakedişten gelen ve yüklenici karını içeren bir tutardır.
Önemli : Fiyat Farkı hesabı sonucu bulunacak tutarın içerisinde Yüklenici Karı ödenmez. Bugüne kadar tüm fiyat farkı kararnamelerinde Yüklenici Karı ödenmeyecek şekilde düzenlenmiştir.
Pn : Endekslere göre artış/azalış katsayısını temsil etmektedir.
a : İşçilik ağırlık oranını temsil etmektedir.
b1: Metalik olmayan diğer minarel ürünlerinin ağırlık oranını temsil etmektedir.
b2: Demir ve çelik ürünlerinin ağırlık oranını temsil etmektedir.
b3: Katı ve sıvı yakıtların ağırlık oranını temsil etmektedir.
b4:Ağaç ve mantar ürünlerinin ağırlık oranını temsil etmektedir.
b5:Diğer malzemelerin ağırlık oranını temsil etmektedir.
Fiyat Farkı hesabı her hakediş hesabına özel gerçekleştirilmektedir. Bunun gerekçesi fiyat farkı hesabının temel unsuru olan “Bu Hakediş Tutarın” hakediş hesabı sonucu bulunması ve fiyat farkı formül ana bileşenlerinden birini temsil etmesinden kaynaklanmaktadır. Fiyat Farkı hesabı Hakediş ile birlikte hesaplanır ve ödenir.
Bu durum için tek bir istisna var, o da hakediş hesabın yapıldığı tarihte uygulama ayı endekslerin yayınlanmamış olmasıdır. Bu durumda hakediş hesabı, fiyat farkı hesabı yapılmaksızın hesaplanır ve ödenir. Hakedişin uygulama ayına ait endeksler yayınlanır yayınlanmaz Fiyat Farkı hesabı ek bir hesap ile bulunur ve ödenir.
